728x90
반응형
1. 공기비(m, 과잉공기계수)의 특징
(1) 공기비가 클 경우 발생하는 현상
- 연소실 내 연소온도 감소 (냉각효과)
- 희석효과가 커져서 연소 생성물 농도의 감소
- 에너지 손실 증가로 배기가스에 의한 열손실 증대
- SO2, NO2 함량의 증가로 인한 부식 가속화
- CH4, CO, C 물질 농도의 감소
(2) 공기비가 작을 경우 발생하는 현상
- CO, CH 농도 증가
- 매연이나 검댕 발생량 증가
- 폭발 위험
- 연소 효율 증가
2. 공기비(m, 과잉공기계수) 공식
*오르자트(Orsat) 분석법
(1) 불완전연소 시 : CO2%, O2%, CO% 주어질 때

공기비 m = N2% / [N2% - 3.76(O2% - 0.5XCO%)]
* N2% = 100 - (CO2% + O2%+ CO%)
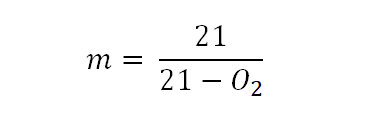
(2) 완전연소 시 : O2%만 주어질 때

공기비 m = 21 / (21 - O2%)
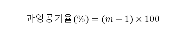
(3) 과잉공기율(과잉공기량)을 이용하여 공기비 구하기

(4) 실제공기량, 이론공기량이 주어질 때

(5) 최대탄산가스양(CO2 max), CO2%가 주어질 때

728x90
반응형
'대기환경기사 필기 > 연소공학' 카테고리의 다른 글
| [연소공학] 이론연소온도, 실제연소온도 (0) | 2024.11.24 |
|---|---|
| [연소공학] 폭발범위 - 르샤틀리에의 법칙 (1) | 2024.11.16 |
| [연소공학] 저위발열량, 고위발열량 계산식 (0) | 2024.11.15 |
| [연소공학] 최대탄산가스량(CO2max) (0) | 2024.11.10 |
| [연소공학] 공기연료비 (AFR) (0) | 2023.06.26 |