728x90
반응형
반응형
728x90
1. 최대탄산가스량(CO2max)
- 과잉 공기 없이 가연물을 산화시켰을 때 발생하는 건조가스량에서의 CO2 부피 백분율
- 연소 방식에 관계없이 일정
- 연소가스를 분석하여 완전 / 불완전 연소를 판정한다
2. 공기비와의 관계

CO2max(%) = 공기비(m) X CO2(%)
3. 최대탄산가스량(CO2max) 공식
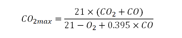
(1) CO2, CO, O2가 주어질 때

CO2max(%) = [21 X (CO2 + CO)] / [21 - O2 + 0.395 X CO]
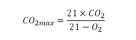
(2) CO2, O2가 주어질 때

CO2max(%) = (21 X CO2) / (21 - O2)
(3) 이론건연소가스량(God)를 이용한 최대탄산가스양 계산식

CO2max(%) = 1.867C/God X100
*이론건연소가스양(God) 계산식

** 이론건연소가스량(God) = 이론공기중 질소량 + 건조연소생성물(CO2)
* 이론공기량(A0) 계산식

최대탄산가스량 최대탄산가스양 CO2max 계산식 최대탄산가스량 공식 최대탄산가스량 계산식
건조배기가스량 이론건연소가스량 이론건연소가스양 God 공식
이론공기량 이론공기양 계산식
최대탄산가스량 공기비 관계식
728x90
반응형
'대기환경기사 필기 > 연소공학' 카테고리의 다른 글
| [연소공학] 이론연소온도, 실제연소온도 (0) | 2024.11.24 |
|---|---|
| [연소공학] 폭발범위 - 르샤틀리에의 법칙 (1) | 2024.11.16 |
| [연소공학] 저위발열량, 고위발열량 계산식 (0) | 2024.11.15 |
| [연소공학] 공기비(m, 과잉공기계수) (1) | 2024.11.09 |
| [연소공학] 공기연료비 (AFR) (0) | 2023.06.26 |